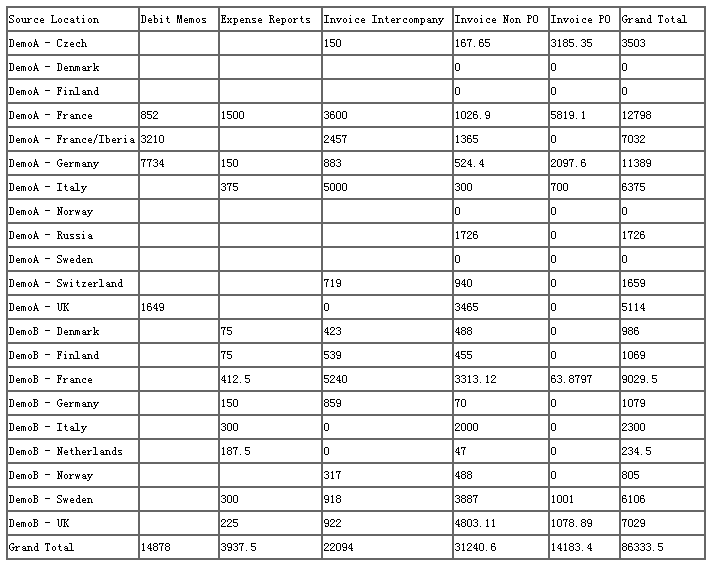
我们用 表 5所示的表来记录来描述年或者月或者季度业务数据量, 其中 source location 是指内容数据来源,Debit Memos,Expense Reports,Invoice Intercompany,Invoice Non PO,Invoice PO 是指 5 个不同的数据类型, Grand Total 是数据汇总。
表 6. 业务数据量统计表

7. 现有内容管理系统的服务质量,问题或缺陷
如 表 7,表 8所示,可以用 SERVQUAL 来评估服务质量, 以及问题和缺陷。
表 7. 业务数据量统计表

表 8. 问题和缺陷总结
