引言
前两天一个朋友给我打电话,问我如何估计项目开发时间。对此我很诧异,问他以前他们是怎么估计的,他说以前基本都是大家开个会,大约都说说自己意见,后负责人一拍脑袋,给出一个时间。不过这次遇到一个非常认真的客户,要求不但要估计出项目开发时间,还要明确说明具体的依据和估算方法,这下我这朋友有点犯难,才询问我。后来我翻阅了一些数理统计和项目估算方面的资料,告诉了他利用一元线性回归分析估计软件项目开发时间的方法。想到这种估算需要在一些开发团队很常见,所以在这里整理成文。
问题的定义及数学模型
这里我们仅考虑比较简单的一元回归问题,即通过单一的Proxy预测项目开发时间。这里先说一下什么叫Proxy。Proxy叫做代理变量,简单来说是估计项目开发时间的数理依据。说白了,是我们预测开发时间,总要有个根据,例如需求中用例个数、概要设计中的实体个数、数据库中的表的数量等等。设Proxy为x,项目开发时间为y,那么可以得到y=f(x),学过初等数学的都可以看懂,是说开发时间是Proxy的一个函数,如果我们既知道了新项目的x,又知道函数f,那么y出来了。可惜天下哪有这么好的事,我们现在既不知道f,又不知道x,别说x的值了,甚至我们都不知道该用哪个Proxy做x。
不过也不必悲观,经过上面分析,我们至少明确了我们奋斗的方向:
1、找出候选的Proxy。
2、选择合适的Proxy作为x。
3、得到x的值。
4、确定函数f。
5、得出y。
下面我们一步一步解决各个问题。
找出候选的Proxy
虽然一个项目的特征量很多,不过可不是随便一个特征量都可以当做Proxy的。要成为Proxy,至少要满足如下四个条件。
1)Proxy的值应该和工作量紧密相关。
这个不用多解释了吧,是说Proxy的值和y的值要有相关性。关于“相关性”的概念这里先定性说一下,定量分析后续会讲到。
2)Proxy应该是能明确得出值的,没有二义性。
这是说Proxy应该对应一个明确数值,是一是一,是二是二,不能取“不错”、“挺多”这种值。
3)Proxy应该在项目开始阶段可以得出或能较精确估计出。
这个开始阶段晚不能晚于概要设计,因为估算都是一开始进行,所以Proxy一定要在起始阶段能得出,否则项目结束了谁还搞估算,实际值都出来了。
4)Proxy对于不同的实施方案是敏感的。
是说当开发方法、开发过程等因素变化时,Proxy应该具有一定的敏感性。
经过上述分析,我想选用什么作为Proxy大家心里都有点谱了。一般来说,在估算时常被作为Proxy的有需求分析中用例数量、需求分析中功能模块数量、概要设计中实体数量和数据库设计中表的数量。当然,各位也可以根据上述要求选择自己的Proxy。在本文中,我们暂且选择用例数量、实体数量和表数量三个Proxy作为候选。
选择合适的Proxy作为x
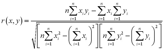
这里所谓的“合适”,在数学上的意义是和开发时间y的相关性强。那么什么是相关性呢,从直观意义上,两个变量的相关性是指两个变量关联的紧密程度,数学上可以用相关系数表示。相关系数计算公式如下:

至于这个公式为什么能反映出两个变量的相关性,可以去参考高等数理统计相关资料,本文不再赘述,只是顺便说一下,r的范围在-1~1之间,值越大代表相关性越强,如果为正值则表示两个变量正相关,否则为负相关。知道了这个,我们这一步骤的目的是找出候选Proxy中与y相关系数大的作为x。
不过,这数据从哪里来呢?这要从以前做过的项目中提取了。查阅朋友所在团队近做过的5个项目的数据资料(这里当然历史项目越多越好,不过笔者这个朋友的团队只有5个项目的记录),得到如下数据:
项目工期(y): 424 267 90 331 160 (人时)
用例数量(x1): 37 20 6 18 12
实体数量(x2): 15 9 4 11 14
数据表数量(x3): 25 18 7 16 18