下面是计算各个相关系数了,计算相关系数是一项机械且乏味的活动,一般都会交由相应的工具去完成。不过您要是感兴趣,也可以自己代入上述公式手算。下图是我用Excel计算的结果:

图1
一般来说,|r|大于0.7有很好的相关性了,而从计算结果可以看出,用例数量x1和工期y的相关系数达到0.93,为,而数据表数量x3也达到0.83,唯有实体数量x2的相关系数仅为0.65,质量较差。因为|r(x2,y)|<0.7,所以这里首先排除掉。
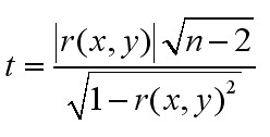
到了这里似乎我们可以顺利成章选择x1作为终Proxy,但是还有一点要考虑,是显著性。所谓显著性是在偶然情况下得到此结果的概率,如果显著性不足,说明这个结果不可靠。显著性t值的计算公式如下:

因为n=5,这里自由度为3,然后查询t分布表,得到95%预测区间为3.182。因为一般显著性<0.05则认为显著性较好,所以如果t的值大于3.182,我们则可以接受。不过如果使用工具的话,一般可以用t检测直接得出显著性,这里我用Excel得到r(x1,y)的显著性为0.006,r(x3,y)的显著性为0.007(如图2所示),都远小于0.05,显著性均非常好。所以根据择优录取原则,我们选择x1:需求文档中用例数量作为预测Proxy。

图2
得到x的值
在上文中,我们通过相关性和显著性分析,终决定使用需求文档中的用例数量作为x。下面是要确定x的值,这个不必多说,直接从需求文档中得到相应的数量即可。
确定相关函数f
知道了x的值,下面是要确定相关函数了。这一步是艰难也是有技术性的,因为相关函数不但和数理因素相关,还与开发团队、团队中的人以及管理方法有关。如果人员变动很大或管理方法做了很大的调整,历史数据可能不具备参考价值了。不过如果团队的开发水平和管理方法没有重大变动,这个函数还是相对稳定的。
在函数选型上,一般会选择线性函数,当然我个人对此是十分怀疑的,但是这里为了简单起见,我们姑且照例使用线性函数作为预测模型。这样可以建立一元线性回归模型如下:

这个函数并不是简单的线性函数,而是包含了一个随机变量ε,这是一个服从正态分布的随机变量。上述模型的直观意义可以如下描述:a代表与x即用例数量无关的起始时间,b代表每一个用例所耗费的平均时间,而ε代表开发中的不确定性。在不同的团队中或不同的管理方法下,a,b和ε都是不一样的,但是当团队和管理方法相对稳定,可以认为a,b和ε是可通过历史数据估计的。而因为ε的期望为0,所以只要给出a和b的合理估计,可以得到y的一个无偏估计。
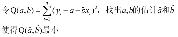
下面我们估计a和b的值。估计方法有很多,如曲线拟合法或小二乘法。这里我们采用小二乘法进行估计。
小二乘法估计的基本原理如下:
