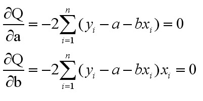
求极值可以使用微积分中的求极值方法,首先令Q(a,b)对a和b分别求偏导,并令偏导为零,得如下方程组:

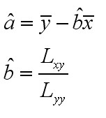
经过一系列计算和推导,终可得到:

将以前的历史数据代入上述方程,可以得到a和b的小二乘估计。同样,这种机械而乏味的计算一般交由工具去完成。我用Excel得到a和b的估计分别为56.251和10.653。Excel分析结果如图3所示:

图3
根据估计结果,我们可以得出相关函数为y=56.251+10.653。我们还可以证明,这个估计是一致小方差无偏估计,证明过程从略。
现在我们不但得到了相关函数,还得到了如下有用的数据结果:这个团队在目前的管理模式下,开发一个项目平均准备时间为56.251人时,而平均每个用例开发耗时为10.653人时。
得出y
有了上面的结果,我们可以很轻易得出新项目的计划工时。例如新项目有50个用例,代入可以得到y=56.251+10.653*50=588.901,约为589个人时,再假设团队中有3个开发人员,平均每周工作五天,每天工作8小时,可以得到项目大约需要开发24.54个人日,开发周期约为5周。
后面的话
至此我们已经完成了利用一元线性回归模型对软件工期的估计。但是不得不承认,这个估计方法存在很多缺陷,如估计变量单一以及估计模型过于简单等等。实验证明,这种一元线性模型对中小型项目相对有效,如果团队比较大并且项目十分复杂,估计效果不理想了。不过这篇文章给出了一种思路,是如何利用数理统计模型以及历史经验数据来估计新项目的工期。对于文中的具体方法则可以进行诸多扩展,例如使用多个估计代理进行多元回归分析、细化估计方法等等。例如PSP中给出一种非常精细的PROBE估计法,有兴趣的朋友可以参考。另外,除了求得估计值,还可以给出估值置信区间,甚至使用蒙特卡洛模拟技术进行更复杂的分析,都可以得到更理想的估值。但是其核心思想与本文是相通的。