程序员的编程能力与编程年龄
作者:网络转载 发布时间:[ 2014/1/21 16:18:43 ] 推荐标签:编程 程序员
程序员这个职业究竟可以干多少年,在中国这片神奇的土地上,很多人都说只能干到30岁,然后需要转型,像《程序员技术练级攻略》这篇文章很多人回复到这种玩法会玩死人的一样。我在很多面试中,问到应聘者未来的规划都能听到好些应聘都说程序员是个青春饭。因为,大多数程序员都认为,编程这个事只能干到30岁,多35岁吧。每每我听到这样的言论,都让我感到相当的无语,大家都希望能像《21天速成C++》那样速成,好多时候超级有想和他们争论的冲动,但后来想想算了,因为你无法帮助那些只想呆在井底思维封闭而且想走捷径速成的人。
,我们又来谈这个老话题,因为我看到一篇论文,但是也一定会有很多人都会找出各种理由来论证这篇论文的是错的,无所谓了,我把这篇文章送给那些和我一样准备为技术和编程执着和坚持的人。
论文
首先,我们先来看一篇论文《Is Programming Knowledge Related to Age?》 (PDF链接),这篇论文是两个北卡罗纳州立大学计算机科学系的两个人Patrick Morrison 和 Emerson Murphy-Hill 对StackOverflow.com上的用户做了相关的数据挖掘得出来的一些数据。(我们知道StackOverflow.com上的数据是公开的,任何人都可以用来分析和统计,所以这篇论文的真实性是有的)
数据采样和清洗条件如下:(数据全量是1694981用户,平均年龄30.3岁)
15-70岁之间的用户(这年龄段的用户被称做“Working age”),当然,有很多用户没有输入年龄,这些用户都被过滤了。
用户在2012年内都回答过问题。因为StackOverflow在2012年对问题和答案的质量要求得比以前高了一倍,所以更能反映程序员的真实水平。
Reputation声望在2-100K之间。(注:StackOverflow的用户Reputation是得到社会认可的,在面试和招聘中是硬通货币。比大学的学分更有价值)
上述的条件一共过滤出84,248名程序员,平均年龄:29.02岁,平均Reputaion在1073.9分。
年龄分布图
下面我们来看一下他们的年龄分布图:我们可以看到程序员年纪的正态分布(高点在25岁左右,但是中点在29岁左右)

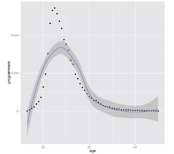
能力和年龄分布图
然后,计算每个人每个月的Reputation,这样可以找到这个用户的真正的活跃时间,这样便于计算这个程序员的真实能力。(总声望 / 活跃时间),可以得到他平均每个月得来的Reputation。

sales@spasvo.com