2018/3/19 15:14:39
进入到管理视图页面后,项目管理人员可以在缺陷流程定制模
块,进行缺陷流程的个性化配置,配置符合项目实际情况的缺流程,可以在创建项目时选择该缺陷流程。
点击【综合管理】-【缺陷流程定制】进入到缺陷流程定制页面

点击
【新增流程】按钮,弹出创建流程页。

选择在后台管理创建的角色组-CRM角色组,步骤如下:
【添加】按钮,添加一个空流程节点


注:开始状态与目标状态不能一致。
注:要保证所有节点都有处理人、如果不正确的流程节点,可以选中后,点击
【删除】按钮,可以删除选中的流程节点
【保存】按钮,保存缺陷流程。注:缺陷流程是和角色组关联的。
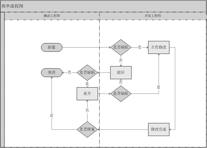
举例:
现在想把CRM客户管理系统的缺陷流程如图所示:

配置完成后,截图如下:

您的信息已成功提交!
我们的客服人员稍后会与您联系