2018/4/2 16:15:16
进入到管理视图页面后,项目管理人员可以在缺陷流程定制模
块,进行缺陷流程的个性化配置,配置符合项目实际情况的缺流程,可以在创建项目时选择该缺陷流程。
点击【综合管理】-【缺陷流程定制】进入到缺陷流程定制页面

点击
【新增流程】按钮,弹出创建流程页。

选择在后台管理创建的角色组-CRM角色组,步骤如下:
1.点击
【添加】按钮,添加一个空流程节点
2.选择状态下拉框选中一个状态。状态下拉框下在状态选择项是在ALM【后台管理】-【数据字典】中进行配置的。

3.点击缺陷节点的角色列,弹出角色选择对话框,角色栏可选角色是角色组下的角色,勾选处理,勾选可以使缺陷进入第2步中选中的状态的角色。

4.点击目标状态,在弹出的状态选择对话框中,选择一个目标状态
注:开始状态与目标状态不能一致。
5.按照上面的过程,再添加其它节点。
注:要保证所有节点都有处理人、如果不正确的流程节点,可以选中后,点击
【删除】按钮,可以删除选中的流程节点
6.在配置完成流程后,输入名称,点击
【保存】按钮,保存缺陷流程。
注:缺陷流程是和角色组关联的。
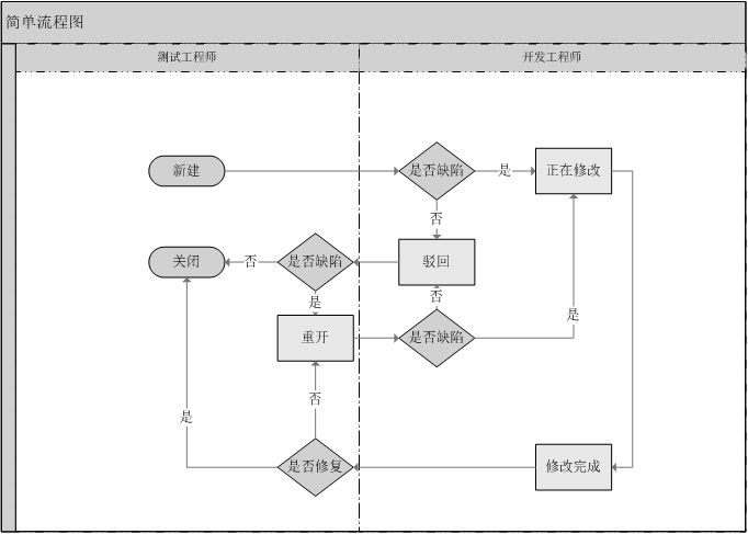
举例:
现在想把CRM客户管理系统的缺陷流程如图所示:

配置完成后,截图如下:

您的信息已成功提交!
我们的客服人员稍后会与您联系